How to Select a Heatsink
2024-12-16 | By Jake Hertz
Heat management is a significant design consideration for any electrical system, as excessive heat can degrade performance, reduce component lifespan, and lead to system failure. To this end, a heatsink is a necessary component that can effectively dissipate heat away from a system's most sensitive and power-hungry components. This guide will walk you through selecting the proper heatsink for your application.

1. Understand the Basics of Heat Dissipation
A heatsink works by transferring heat from a hot component (such as a CPU, power transistor, or LED) to the surrounding environment. The effectiveness of this transfer is measured by the thermal resistance (°C/W), where a lower value indicates better performance.
Factors affecting heat dissipation include:
- Conduction: The transfer of heat from the component to the heatsink.
- Convection: The transfer of heat from the heatsink to the surrounding air.
- Radiation: The heat dissipated via electromagnetic waves, which is usually minimal compared to convection.
The means of heat dissipation in an IC.
2. Calculate the Heat to Be Dissipated
To size the heatsink appropriately, you need to calculate the amount of heat that must be dissipated. This is typically expressed in watts (W), determined by the component's power consumption and the difference between the acceptable operating temperature and ambient temperature.
- Power dissipation (P): If your component consumes power, the heat generated can be calculated as P=IV where I is the current and V is the voltage drop across the component.
- Temperature rise (ΔT): The allowable temperature rise is the difference between the maximum junction temperature (Tj) of the component and the ambient temperature (Ta).

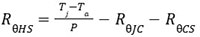
3. Determine Required Thermal Resistance
Once you know the power dissipation and allowable temperature rise, you can calculate the required thermal resistance of the heatsink.

Where:
- R
0HS is the thermal resistance of the heatsink. - R
0JC is the thermal resistance from junction to case. - R
0CS is the thermal resistance from the case to the heatsink (thermal interface material).
The thermal circuit model of an integrated circuit.
4. Choose the Heatsink Type
Heatsinks come in various shapes and sizes. Your choice depends on the power dissipation, form factor, and whether active cooling is available.
- Extruded Heatsinks: Commonly used in passive cooling, extruded heatsinks have a variety of fin designs to maximize surface area for heat transfer. Ideal for lower-power applications or where airflow is limited.
- Stamped Heatsinks: Thin, low-profile heatsinks designed for applications with space constraints and moderate heat dissipation.
- Bonded or Skived Fin Heatsinks: Used in applications where higher power dissipation and forced convection (i.e., fan-cooled systems) are required. These have more fins and lower thermal resistance than extruded heatsinks.
- Active Heatsinks: These include a fan to improve air circulation. Active cooling is typically used in systems with high power densities, such as CPUs or high-power LEDs.
Different types of heatsinks.
5. Consider Mounting Options and Thermal Interface Material (TIM)
- Mounting: Heatsinks can be mounted with clips, screws, or adhesive pads. Ensure the mounting method maintains good contact with the component surface to maximize thermal transfer.
- Thermal Interface Material: A thermal pad or thermal paste ensures optimal thermal conductivity between the component and the heatsink. The choice of TIM influences the thermal resistance and overall performance of the heatsink.
6. Evaluate Airflow and Ambient Conditions
The heatsink’s effectiveness depends heavily on airflow and the environment in which it operates.
- Natural Convection: This is the default option if no forced airflow (fan) is available. The ambient temperature and orientation of the heatsink are important as heat rises, and the airflow patterns can either help or hinder heat dissipation.
- Forced Convection: With forced airflow, you can use smaller heatsinks or manage higher power dissipation levels. Ensure your design accommodates the airflow path and that the fan operates reliably.
Natural convection (left) versus forced convection (right).
7. Verify Performance with Simulation
Before finalizing your choice, consider using thermal simulation software to model heat dissipation. Tools such as ANSYS Icepak or SolidWorks Flow Simulation can help you estimate thermal performance based on your heatsink’s design and environmental conditions.
Conclusion
Selecting a heatsink is more than choosing a component with enough fins. It involves understanding your system's thermal requirements, calculating power dissipation, considering airflow, and ensuring that the heatsink matches your design's form factor. A careful consideration of these factors can prevent thermal issues and improve your design's reliability.

