
Abgeschirmte SMD-Leistungsinduktivitäten der Serie WE-MAPI
Die WE-MAPI von Würth Elektronik ist die weltweit kleinste Leistungsdrossel aus einer Metalllegierung. Ihre Effizienz ist beispiellos.
Der Wirkungsgrad ist hervorragend und die Serie 4020HT ist jetzt in neuen Größen und erweiterten Temperaturversionen mit AEC-Q200-Zulassung der Klasse 0 für Betriebstemperaturen von -55 ° bis +150 °C erhältlich.
Die Leistungsdrossel wurde für die neuesten und kommenden Generationen von Schaltreglern entwickelt. Sie besticht durch ihr innovatives Kernmaterial aus einer Metalllegierung. Die rahmenlose Konstruktion mit direktem Drahtanschluss erhöht das effektive Magnetvolumen und damit auch die Leistungsdichte deutlich.
Eigenschaften
- Magnetische Eisenlegierung ermöglicht hohe Nennströme bis zu 9,9 A
- Kompaktes Design
- Magnetisch abgeschirmt
- Hohe Strom- und Stromspitzenbelastbarkeit
- Geringes akustisches und Streuflussrauschen
- AEC-Q-200-zugelassen
- Betriebstemperatur: -40 °C bis +125 °C
- WE-MAPI 4020HT: Serie für hohe Temperaturen mit einer Betriebstemperatur von -55 °C bis +150 °C
Anwendungen/Zielmärkte
- DC/DC-Wandler für Hochstrom-Netzteile
- DC/DC-Wandler für feldprogrammierbare Gate-Arrays (FPGA)
- PoL-Wandler
- Tragbare Geräte wie PDAs, Digitalkameras
- Mainboards/Grafikkarten
- Batteriebetriebene Geräte
- Geräte für die drahtlose Kommunikation
- Netzteile für Smartphones, Tablet-PCs und andere mobile Geräte
Das innovative Design im Detail

Leiterrahmen-freies Design für beste Koplanarität

Keine Löt- oder Schweißnähte für höchste Zuverlässigkeit

Höchste Kernausnutzung für höchste Strombelastbarkeit

Reduzierte parasitäre Kapazitäten für minimale AC-Verluste

Selbstabschirmende Konstruktion für beste EMI-Performance

Schutzschicht für perfekte Robustheit
Vorteile auf einen Blick
Geringste AC/DC-Verluste

Abwärts: 24 V zu 12 V bei 2 A, 500 kHz, 2,2 µH
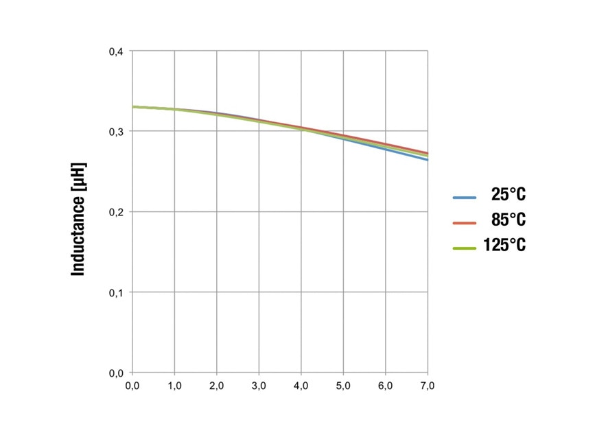
Ausgezeichnete Temperaturstabilität

AC- & DC-Verlust bei 500 kHz
Innovatives Metalllegierungs-Kernmaterial

Verbesserte Kernausnutzung
WE-MAPI
Abbildung | Hersteller-Teilenummer | Beschreibung | Induktivität | Toleranz | Verfügbare Menge | Preis | Details anzeigen | |
---|---|---|---|---|---|---|---|---|
![]() | ![]() | 74438335047 | FIXED IND 4.7UH 1.5A 162MOHM SMD | 4.7 µH | ±20% | 8746 - Sofort | $0.96 | Details anzeigen |
![]() | ![]() | 74438323100 | FIXED IND 10UH 600MA 843MOHM SMD | 10 µH | ±20% | 6986 - Sofort | $0.96 | Details anzeigen |
![]() | ![]() | 74438336100 | FIXED IND 10UH 1.2A 322 MOHM SMD | 10 µH | ±20% | 13100 - Sofort | $1.24 | Details anzeigen |
![]() | ![]() | 74438336068 | FIXED IND 6.8UH 1.6A 193MOHM SMD | 6.8 µH | ±20% | 8045 - Sofort | $1.24 | Details anzeigen |
![]() | ![]() | 74438336022 | FIXED IND 2.2UH 2.4A 80 MOHM SMD | 2.2 µH | ±20% | 5938 - Sofort | $1.24 | Details anzeigen |
![]() | ![]() | 74438336033 | FIXED IND 3.3UH 2.2A 114MOHM SMD | 3.3 µH | ±20% | 4395 - Sofort | $1.24 | Details anzeigen |
![]() | ![]() | 74438335330 | FIXED IND 33UH 500MA 1.33OHM SMD | 33 µH | ±20% | 4166 - Sofort | $1.34 | Details anzeigen |
![]() | ![]() | 74438357100 | FIXED IND 10UH 2.7A 110 MOHM SMD | 10 µH | ±20% | 40406 - Sofort | $1.35 | Details anzeigen |
![]() | ![]() | 74438357022 | FIXED IND 2.2UH 5.2A 26 MOHM SMD | 2.2 µH | ±20% | 16823 - Sofort | $1.35 | Details anzeigen |
![]() | ![]() | 74438357068 | FIXED IND 6.8UH 3A 74 MOHM SMD | 6.8 µH | ±20% | 6851 - Sofort | $1.35 | Details anzeigen |