Progettare una combinazione di driver con amplificatore operazionale affidabile e accurato e ADC SAR per imaging medicale di precisione
Contributo di Editori nordamericani di DigiKey
2019-09-04
Vista la crescente interconnessione di dispositivi e sistemi, le applicazioni di imaging medicale, come la risonanza magnetica per immagini, gli scanner a ultrasuoni e le apparecchiature a raggi X, dipendono da una quantità sempre maggiore di dati accurati. Se si desidera ottenere dati accurati, occorre però progettare attentamente il front-end per acquisire il segnale del sensore riducendo al minimo l'instabilità dovuta al rumore elettronico prima che il segnale rilevato venga convertito nel dominio digitale.
Il problema della stabilità viene in parte risolto utilizzando un convertitore analogico/digitale (ADC) con ingresso differenziale a registro ad approssimazioni successive (SAR) per ottenere risultati digitali accurati per un determinato segnale di ingresso analogico. Se però il rumore provoca l'instabilità del segnale di ingresso, il convertitore riesce a produrre in modo affidabile solo questo rumore. La sfida consiste nel garantire che il rumore del sistema analogico e la larghezza di banda dell'amplificatore operazionale siano complementari all'ADC SAR.
Questo articolo illustra brevemente come scegliere correttamente l'amplificatore operazionale e l'ADC SAR ad alta risoluzione. Presenta quindi un ADC SAR e un amplificatore totalmente differenziale di Analog Devices e mostra come combinarli per raggiungere un rapporto segnale/rumore (SNR) a 16 bit e prestazioni di distorsione armonica totale (THD).
Requisiti prestazionali dell'imaging medicale
Quando si lavora con apparecchiature medicali di diagnostica per immagini, ogni risultato ha un impatto decisivo sulla capacità del medico di valutare e prescrivere trattamenti efficaci. Che si tratti di risonanza magnetica per immagini, scanner a ultrasuoni o di unità a raggi X, il percorso dai sintomi a un'azione valida può iniziare dai risultati dell'apparecchiatura e dalla valutazione del medico. Un'apparecchiatura medicale ad alte prestazioni migliora la qualità delle immagini e i risultati prodotti. Il miglioramento della sensibilità delle apparecchiature riduce l'esposizione del paziente, la ripetizione di test non necessari e migliora la qualità delle immagini diagnostiche.
A livello di componenti, dagli amplificatori dell'apparecchiatura, dagli ADC e dalla loro implementazione dipendono il livello di sensibilità e la qualità dell'immagine. Per garantire il mantenimento della qualità dell'immagine all'uscita, questi sistemi richiedono prestazioni a 16 bit dal processo di conversione analogico/digitale. Questa risoluzione a 16 bit, punto di partenza per sistemi analogici e digitali, si traduce in prestazioni del sistema tipiche >98 decibel (dB) per SNR e <-107,5 per THD.
Il valore SNR descrive la quantità di rumore che accompagna un segnale. L'SNR esclude i segnali armonici e c.c. L'SNR ideale per un convertitore ADC SAR con ingresso dell'onda sinusoidale a fondo scala è (6,02 x n) +1,76 dB, dove n è il numero di bit del convertitore. Il valore THD è la somma della radice quadratica media (rms) delle potenze delle componenti armoniche (segnali spuri) a un multiplo del segnale di ingresso, rapportato alla potenza di tale segnale. Questo rapporto è specificato in decibel (dB) rms.
Per ottenere le prestazioni richieste si possono utilizzare l'amplificatore operazionale ADA4945-1ACPZ-R2 e l'ADC SAR AD4003BCPZ-RL7 di Analog Devices (Figura 1). ADA4945-1ACPZ-R2 è un amplificatore operazionale a basso rumore, totalmente differenziale e ad alta velocità, in una configurazione a guadagno unitario. Pilota in modo efficiente gli ADC SAR ad alta risoluzione. Opera su un ampio intervallo di alimentazione (da 3 a 10 V) e ha una bassa tensione di offset e una bassa rumorosità di 1,8 nanovolt per la radice quadrata degli Hertz (nV√Hz) a 100 kHz. AD4003BCPZ-RL7 è un ADC SAR a ingresso differenziale a 18 bit, da 2 megacampioni/secondo (MSPS), con un SNR tipico pari a 100,5 dB, un THD di -123 dB e una non linearità integrale (INL) di ±1,0 bit meno significativo (LSB).
Figura 1: Circuito semplificato di acquisizione dei dati di imaging medico basato sull'amplificatore operazionale ADA4945-1ACPZ-R2 e sull'ADC SAR AD4003BCPZ-RL7 di Analog Devices. (Immagine per gentile concessione di Bonnie Baker)
Analisi del rumore di sistema
Quando si progettano sistemi medici di precisione, uno degli obiettivi più importanti è raggiungere un elevato SNR. Per migliorare l'SNR occorre scegliere componenti a basso rumore e aumentare l'ampiezza del segnale di fondo scala (Figura 2).
Figura 2: Le unità per le specifiche del rumore nel dominio analogico sono espresse in tempo e frequenza. Le unità per le specifiche di rumore nel dominio digitale sono espresse in dB. (Immagine per gentile concessione di Bonnie Baker, basata sul materiale di Analog Devices)
Nella Figura 1, l'alimentazione dell'amplificatore ADA4945-1 è sufficientemente ampia da garantire prestazioni di uscita rail-to-rail senza distorsioni. Il riferimento di 5 V per l'ADC SAR AD4003 copre l'intervallo di ingresso. La discriminante per scegliere i componenti corretti è capire la potenza di rumore totale dei componenti della catena di segnali.
Tenere presente che i grafici in basso nella Figura 2 hanno unità di misura diverse. Nel dominio analogico, l'unità di misura del rumore è V/√Hz. Il rumore nel dominio digitale è misurato in dB. Come mostrato, le unità di misura del rumore tra il dominio analogico e quello digitale sono diverse.
Rumore dell'amplificatore operazionale
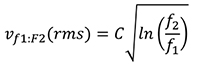
Nel dominio analogico, l'unità di misura del rumore viene data anche come volt-rms per una media statistica su una determinata larghezza di banda. Ad esempio, il rumore della tensione di ingresso differenziale di ADA4945-1 è 5 nV/√Hz a 5 Hz e 1,8 nV/√Hz a 100 kHz (Figura 3).
Figura 3: Grafico della frequenza rispetto al rumore della tensione di ingresso dell'amplificatore ADA4945-1 che mostra le regioni del rumore 1/f e in banda larga dell'amplificatore. (Immagine per gentile concessione di Bonnie Baker, basata sul materiale di Analog Devices)
Nella Figura 3, la sfida che riguarda le due regioni di rumore sta nel combinarle in un'unica media statistica del rumore. Il rumore rms della regione 1/f riferito all'ingresso può essere trovato con l'Equazione 1:
Equazione 1
Dove C è la densità di rumore dell'amplificatore a 1 Hz e f1 e f2 definiscono la larghezza di banda della regione 1/f. In genere, f1 è pari a 0,1 Hz.
Utilizzando i numeri:
f1 = 0,1 Hz
f2 = 1 kHz
C = 19 nV/√Hz
Il rumore rms di ADA4945-1 nella regione 1/f è di 57,66 nV rms
Il rumore rms in banda larga di ADA4945-1 riferito all'ingresso viene calcolato con l'Equazione 2:
Equazione 2
Dove n è il rumore specificato a una determinata frequenza nella regione della banda larga dell'amplificatore e BW è la larghezza di banda di questa regione.
Con:
en = 1,8 nV/√Hz
BW = da 1 kHz a 4,42 MHz (Nota: con filtro passa basso a 200 ohm (W), 180 picofarad (pF), tra amplificatore operazionale e ADC)
Il rumore rms nella regione della banda larga è di 4,74 mV rms.
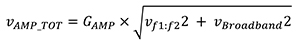
La potenza di rumore totale presente in qualsiasi sistema è pari alla radice della somma dei quadrati (RSS) della potenza di rumore apportata dalle singole parti di cui si compone. Il rumore totale riferito all'ingresso dell'amplificatore viene calcolato con l'Equazione 3:
Equazione 3
Dove GAMP è pari al guadagno dell'amplificatore.
Con GAMP = 1, il rumore rms totale riferito all'uscita da ADA4451 è di 4,74 mV rms.
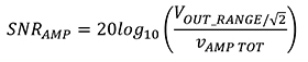
Le unità di calcolo del dominio analogico per le Equazioni 1, 2 e 3 sono i volt e la frequenza. La conversione della tensione analogica in una rappresentazione in dB come SNR è pari a SNRAMP, come mostrato nell'Equazione 4.
Equazione 4
Dove VOUT_RANGE corrisponde all'intervallo di ingresso dell'ADC SAR.
Con:
VOUT_RANGE = 9,5 V
SNRAMP da ADA4451-2, relativo a questa uscita, è +123 dB.
Distorsione dell'amplificatore
ADA4945-1 è fabbricato utilizzando il processo bipolare complementare con silicio-germanio (SiGe) proprietario di Analog Devices, che consente al dispositivo di ottenere bassi livelli di distorsione.
Con un intervallo della tensione di ingresso da -VS a (+VS - 1,3 V), la distorsione della seconda armonica (HD2) è pari a -133 decibel rispetto alla frequenza della portante (dBc). HD2 e la distorsione della terza armonica (HD3) è -140 dBc HD3 a 1 kHz. A 100 kHz, HD2 è uguale a -133 dBc e HD3 è -116 dBc.
Rumore dell'ADC SAR
La derivazione del rumore di riferimento di ingresso per un amplificatore si ottiene da due punti di misurazione della frequenza (1 Hz e 100 kHz). La derivazione di un rapporto tra il segnale dell'ADC SAR e il rumore si ottiene con un calcolo FFT RSS ed è espressa in dB.
L'SNR ideale di un ADC SAR è pari a (N x 6,02 + 1,76) dB, dove N è pari al numero di bit del convertitore. L'ADC SAR ADA4003 è specificato come convertitore a 18 bit, quindi l'SNR ideale di questo convertitore è pari a 110 dB. Tuttavia, come verrà mostrato più avanti, l'SNR effettivo di questo dispositivo è pari a 100,3 dB.
Lo spettro della frequenza della misurazione FFT dell'ADC SAR va da 0 a fs/2, dove fs è uguale alla frequenza di campionamento dei convertitori (Figura 4).
Figura 4: Il tracciato dei dati FFT di ADA4003 è usato per calcolare l'SNR e il THD di un ADC. (Immagine per gentile concessione di Bonnie Baker)
Nella Figura 4, il segnale spurio dominante (A) è il segnale di ingresso del convertitore. La linea (B) mostra il rumore di uscita dal convertitore che include la quantizzazione e il rumore interno del componente. Il segnale spurio secondario (C), che risulta essere HD5, rappresenta la distorsione dominante a circa -128 dB. Tutti gli altri segnali spuri le cui frequenze sono dei multipli del segnale di ingresso (A) vengono sommati con una formula RSS per generare il valore THD totale.
Combinazione di SNR e THD: SINAD
Una cifra di merito (FOM) da esaminare più da vicino è SNR + distorsione (SINAD, o SNR+D). Questo termine può essere anche THD + rumore. SINAD è la combinazione calcolata di SNR e THD, o il rapporto tra l'ampiezza rms del segnale di ingresso fondamentale e la somma rms di tutte le altre componenti spettrali al di sotto della metà della frequenza di campionamento (esclusa la c.c.). Il minimo teorico per SINAD è pari all'SNR ideale, ovvero 6,02n + 1,76 dB con convertitori di pipeline e SAR.
Il SINAD è espresso in dBc quando come riferimento si utilizza la potenza assoluta del fondamentale, oppure in decibel rispetto al fondo scala (dBFS) quando la potenza del fondamentale viene estrapolata nell'intervallo di fondo scala del convertitore.
SINAD è una specifica cruciale nelle progettazioni di un oscilloscopio digitale/registratori di forme d'onda, così come per l'elaborazione di immagini geofisiche, radar, sonar, analisi dello spettro, telecomunicazioni video e applicazioni di ricevitore digitale a banda larga.
Rumore e distorsione combinati
Tornando al progetto originale, il requisito di sistema riguarda un sistema a 16 bit. Questa risoluzione a 16 bit si traduce in prestazioni del sistema tipiche >98 decibel (dB) per SNR e <-107,5 per THD.
È arrivato il momento di combinare in un'unica FOM tutti gli errori dell'amplificatore SNR e THD e dell'ADC SAR. Il rumore dell'amplificatore e quello dell'ADC SAR vengono combinati per determinare il rumore totale del sistema utilizzando l'Equazione 5:
Equazione 5
Nell'Equazione 5, i due termini SNR con unità di dB non possono essere sommati. I termini SNR dell'ADC SAR e dell'amplificatore vengono convertiti in un rapporto lineare. Al termine della conversione, vengono sommati e riconvertiti in decibel.
La distorsione dell'amplificatore e quella dell'ADC SAR vengono combinate per determinare la distorsione totale del sistema utilizzando l'Equazione 6:
Equazione 6
L'SNR del sistema viene combinato con la THD del sistema tramite l'Equazione 7:
Equazione 7
A frequenze del segnale di 1 kHz e di 10 kHz, l'SNR e la THD testati per la combinazione dell'amplificatore ADA1945-1 che pilota l'ADC SAR AD4003 soddisfano i valori richiesti di >98 dB SNR e <-107,5 THD (Tabella 1).
|
Tabella 1: Riepilogo di ADA4945-1 e AD4003 secondo la Figura 1. A 100 kHz, ADA4945-1 è in grado di sostenere prestazioni a 16 bit, dove SNR e THD di AD4003 iniziano a deteriorarsi. (Tabella per gentile concessione di Bonnie Baker)
A 100 kHz, ADA4945-1 è in grado di sostenere prestazioni a 16 bit, dove SNR e THD di AD4003 iniziano a deteriorarsi.
Conclusione
Per creare un sistema ad alta precisione a 16 bit per risonanza magnetica per immagini, scanner a ultrasuoni e apparecchiature a raggi X, è necessario combinare un amplificatore totalmente differenziale e un ADC SAR a 18 bit. Volendo assicurare le migliori prestazioni complessive, ADA4945-1 e AD4003 di Analog Devices sono una buona combinazione per realizzare una soluzione a basso rumore e bassa distorsione per i sistemi di strumentazione medica.
Esonero della responsabilità: le opinioni, le convinzioni e i punti di vista espressi dai vari autori e/o dai partecipanti al forum su questo sito Web non riflettono necessariamente le opinioni, le convinzioni e i punti di vista di DigiKey o le sue politiche.


